Китайский технологический гигант Alibaba представил модель искусственного интеллекта Qwen 3.5. Она доступна в открытом варианте, который позволяет всем желающим загружать, запускать, изменять и развёртывать её на собственной инфраструктуре; а также в хостинговой версии, предназначенной для работы на собственных серверах Alibaba.
Источник изображения: qwen.ai
Alibaba Qwen 3.5 предлагает улучшения в производительности, стоимости обслуживания, и располагает «нативными мультимодальными возможностями», то есть одинаково хорошо работает с текстом, изображениями и видео. В соответствии с одной из ведущих тенденций отрасли ИИ модель умеет писать компьютерный код и располагает совместимостью с открытыми ИИ-агентами, включая популярный OpenClaw. ИИ-агентами называют приложения, способные самостоятельно выполнять действия и многоэтапные задачи от имени пользователя при минимальном его участии.
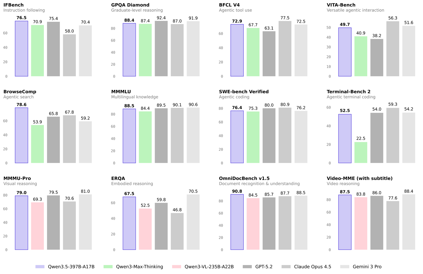
Открытая Alibaba Qwen 3.5 имеет 397 млрд параметров — переменных, определяющих, как обучается и рассуждает модель. Это меньше, чем у предыдущего флагмана, но, как утверждает разработчик, новая модель показала значительное улучшение в различных тестах. В работе она сопоставима с ведущими моделями OpenAI, Anthropic и Google — в отдельных тестах китайский ИИ даже превосходит западных конкурентов. Доступная через облачную платформу Model Studio версия Qwen-3.5-Plus также выступает на уровне ведущих конкурирующих продуктов, утверждает Alibaba. Она поддерживает 201 язык и диалект — у предыдущего поколения их было 82.
В дни празднования китайского Нового года Alibaba выпустит ещё несколько открытых моделей ИИ, пообещал в соцсетях технический руководитель направления Qwen в Alibaba Cloud Линь Цзюньян (Lin Junyang).
Источник:


MWC 2018
2018
Computex
IFA 2018







